按照《肉漫画
研究生积学奖学金管理暂行办法》,为做好学院评审工作,充分发挥积学奖学金在鼓励学生勤奋学习、刻苦钻研、学以致用方面的作用,特制定本办法。
一、申请条件
1.热爱社会主义祖国,拥护中国共产党的领导;
2.遵守国家法律法规和学校规章制度;
3.学习态度端正,努力掌握专业知识,学习成绩优良;
4.具有较好的科研能力,所取得的科研成果须符合学术道德规范;
5.按学校规定时间进行报到和注册,在规定学制内的学术型和专业型硕士研究生和博士研究生;
6.硕博连读研究生在取得博士生学籍前,按硕士身份参评;在取得博士生学籍后,按博士身份参评。参评时的科研成果按所在学习阶段确定,且不得累加。
7.具有以下情况之一者不得参评:超出基本学习年限;研究生在学期间受到过任何纪律处分者;研究生在学期间发生过学术不端行为者;学籍状态处于休学的未在校学习者;无故欠缴学费者;具有副高级及以上职称或副处级及以上职务的全日制在职研究生。
二、评审依据
根据研究生上一学年的学习、科研和综合表现等情况进行考核,评选办法因研究生年级和类别而不同。对研究生进行综合考评过程中,主要采取的是分专业位次赋分法,即把不同的考评模块进行在专业内进行排名,然后按照排名从高到低依次赋分,再折算成百分,再乘以本模块的比重得出。各模块得分相加即最终得分,按得分进行专业内排名,并给予相应的奖学金等级。奖学金的等级、比例及额度按照学校指标,结合学院实际,扩大一定的覆盖面。
二、三年级的研究生,申请一等奖学金,硕士原则上需一篇及以上核心论文、博士需一篇及以上重点核心论文或相对应的竞赛、课题成果;申请二等奖学金,硕士原则上需要一篇及以上重要论文、博士需要一篇及以上核心论文或相对应的竞赛、课题成果,或参加重要活动、大型志愿服务工作特别突出者。
学术成果的等级按照科学引文索引期刊(中科院确定的分区以及TOP期刊)和中国科学(中文版)中关于标志性成果认定和高层次成果认定标准执行。同等分区时参考T级排名。
凡上一学年参与活动、志愿服务考评位居后25%,且没有核心及以上论文者,原则上不能参与奖学金评定。
办法中给出的等级及金额根据实际情况会进行微调。
(一)一年级研究生:
奖学金等级、额度及评定办法:研究生一年级以入学成绩为评定标准。其中博士研究生分为申请入学(含硕博连读生)和考试入学两类,将两类学生按入学成绩分别进行排名,优先考虑申请入学学生,原则上硕博连读学生直接认定为一等奖学金,考试入学学生降一档进行认定。对博士一年级学生进行全覆盖。
硕士研究生按照保研、一志愿、调剂三类在专业内进行排名。保研学生原则上直接认定为一等奖学金,一志愿按笔试成绩+复试成绩进行排名,调剂学生按初试成绩+复试成绩进行排名。优先考虑一志愿学生,调剂学生原则上降一档进行认定。按照划分给一年级的总金额,按排名划定奖学金等级,再赋相应的奖学金金额,对硕士一年级学生进行全覆盖。
学生类别 | 奖学金等级 | 覆盖比例 | 参考标准(每生) |
博士研究生 | 一等 | 14% | 1.8万元 |
二等 | 72% | 0.9万元 |
三等 | 14% | 0.7万元 |
硕士研究生 | 一等一类 | 22% | 1.2万元 |
一等二类 | 23% | 0.55万元 |
二等 | 23% | 0.45万元 |
三等 | 32% | 0.35万元 |
(二)二年级研究生:
1.奖学金的等级、额度及评定比例:
学生类别 | 奖学金等级 | 覆盖比例 | 参考标准(每生) |
博士研究生 | 一等 | 15% | 1.5万元 |
二等 | 15% | 1.2万元 |
三等一类 | 20% | 0.9万元 |
三等二类 | 25% | 0.7万元 |
硕士研究生 | 一等 | 10% | 1.0万元 |
二等 | 15% | 0.8万元 |
三等一类 | 20% | 0.6万元 |
三等二类 | 20% | 0.4万元 |
2.评定办法:以上一学年的科研情况(权重60%)、学习情况(权重20%)和参与活动、志愿服务等情况(权重20%)按照位次赋分法进行综合评定。若某专业所有学生无任何科研成果,则奖学金金额降低一档,多余金额用于增加学生覆盖面,也可以适当调整各模块的占比。
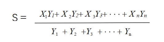
学习情况(S)计算方法如下:

其中X为每门必修课的考试成绩,Y为相应的学分;计算出结果后进行排名,再按照位次赋分法得出本模块成绩。
(三)三年级研究生:
1.奖学金的等级、额度及评定比例:
学生类别 | 奖学金等级 | 覆盖比例 | 参考标准(每生) |
博士研究生 | 一等 | 15% | 1.5万元 |
二等 | 15% | 1.2万元 |
三等一类 | 20% | 0.9万元 |
三等二类 | 25% | 0.7万元 |
硕士研究生 | 一等 | 10% | 1.0万元 |
二等 | 15% | 0.8万元 |
三等一类 | 20% | 0.6万元 |
三等二类 | 20% | 0.4万元 |
2.评定办法:以上一学年的科研情况(权重80%)和参与活动、志愿服务等情况(权重20%)按照位次赋分法进行综合评定。
(四)四年级博士研究生:
符合学制要求的四年级博士研究生,以上一学年的科研情况为考评依据,按位次赋分法进行排名,并授予相应的奖学金等级。
三、相关说明
1.为鼓励研究生参加科研竞赛,对标志性竞赛获奖认定对应的科研成果,具体为:
“挑战杯”、“互联网+”竞赛的国赛特等奖(金奖)、一等奖(银奖)、二等奖(铜奖)、三等奖主持人分别按照SCI一区、二区、三区、四区论文一篇认定,第2-3人依次递减为SCI二区、三区、四区、重要论文一篇认定,最后一人不低于重要论文;省级一、二、三等奖主持人分别按照重点核心、核心、重要论文一篇认定,同一项目按照获奖就高原则,不重复认定。
全国大学生英语竞赛、数学建模大赛国赛(主持人)一等奖按SCI三区论文一篇认定。
以上内容来源于《中国高等教育学会学科竞赛评估项目信息清单》,其他清单中包含的竞赛主持人对应一定的科研成功,办法参照上述条例。其他相关竞赛按照学院竞赛、活动考评中规定的赋分方案,给予相应的活动分值,不再记入科研成果,具体由年级评议小组、学院评审领导小组根据实际情况进行评定等级。
2.校内科研项目以成果产出认定,厅局级项目按核心期刊认定,省部级课题按重要核心期刊认定,国家级项目按权威期刊认定,立项赋40%科研分数,结项赋60%科研分数。具体由评议小组一事一议,且只认定主持人。
3.科研成果评定中,学生为第一作者的优先考虑;学生为第二作者的,导师必须为第一作者;学生为共同第一作者的,按照学生二作、导师一作进行认定。优先考虑已出刊的成果,其次是录用通知;同等情况下按论文期刊复合影响因子排序。博士研究生优先考虑非在职研究生。
4.在评选学年已获得研究生国家奖学金、比亚迪奖学金的学生,其科研成果不再重复使用;凡当年评审使用过的科研成果,下一年度不再重复使用;凡当年使用过的录用通知,论文出刊后下一年度不得再次使用,以上一经发现,取消评审资格。
5.录用通知需办理缴费手续,对于个别不需要缴费的录用通知,由期刊编辑部出具书面说明(注明文章发表时间及不缴费原因),外文期刊要有邮件截图,且有doi号。学生须在录用通知或证明材料上注明论文目前进度并签字,导师在材料上签字确认。所有刊物、项目、录用须在通知截止日前提交。
6.评审指标按比例下拨到各专业,原则上优先满足本专业符合条件的同学,多余的指标进行调剂。对学业成绩不合格、导师(导师组)认为未达到培养要求的研究生,原则上不得申请积学奖学金。对于在评选过程中弄虚作假、虚构事实、匿名诬告等情况,一经发现,取消评选资格,严重者给予纪律处分。
肉漫画
2025年11月24日